Flat 50% off on all training & certification courses. Limited time offer Explore courses

Use these filters to find papers

  Question
0

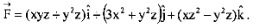
Find the divergence of the vector 

This question has 0 answers so far.
0

Find the angle between any two diagonals of a cube.

This question has 0 answers so far.
0

Prove that the general equation of first degree in x, y, z represents a plane.

This question has 0 answers so far.
0

Find the angle between the lines,


This question has 0 answers so far.
0

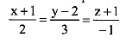
Prove that the lines,

  are perpendicular 

This question has 0 answers so far.
0

Find the shortest distance between the lines.


This question has 0 answers so far.
0

Find the equation of the plane containing the point (2, 1, 1) and the line,


This question has 0 answers so far.
0

Find the constant 'a' so that the vectors  are co-planar.

This question has 0 answers so far.
0

If  and then prove that  is perpendicular to and also find


This question has 0 answers so far.
0

Find the volume of the parallelopiped whose co-terminal edges are represented by the vectors


This question has 0 answers so far.
0

 Find the velocity and acceleration of a particle moves along the curve  at any time t". 

This question has 0 answers so far.
0

Find the directional derivative of x2yz3 at(1, 1, 1) in the direction of 

This question has 0 answers so far.
0

Solve (D2 + 2D + 1) = x2 + 2x.

This question has 0 answers so far.
0

 show that 

This question has 0 answers so far.
0

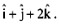
Show that the vector field, is solenoidal.

This question has 0 answers so far.
0

Find the constants a, b, c such that the vector field,


This question has 0 answers so far.
0

Prove that L(sin at)= 

This question has 0 answers so far.
0

Find L[sint  sin 2t  sin 3t].

This question has 1 answers so far.
0

Find L[cos3t].

This question has 0 answers so far.
0

Find the inverse Laplace transform of 

This question has 0 answers so far.
0

Find 

This question has 0 answers so far.
0

Find 

This question has 0 answers so far.
0

Solve the differential equation,  under the condition  by Laplace transform techniques. 

This question has 0 answers so far.
0

Solve the differential equation,   by Laplace transform techniques.

This question has 0 answers so far.
0

Obtain reduction formula for  where n is positive integer.

This question has 0 answers so far.
0

Find the modulus and amplitude of 1 + cos+ i sin.

This question has 0 answers so far.
0

Find the cube root of 1 - i.

This question has 0 answers so far.
0

Find the nth derivative of eax cos (bx+c).

This question has 0 answers so far.
0

Find the nth derivative of 

This question has 0 answers so far.
0

If y= sin_1 x, prove that 

This question has 0 answers so far.
0

Find the angle of intersection of the curves 

This question has 0 answers so far.
0

Find the nodal equation of the curve r (1-cos) - 2a.

This question has 0 answers so far.
0

Expand log (secx) upto the term containing x4 using Maclaurin's series.

This question has 0 answers so far.
0

If u = x3 - 3xy2 + x + ex cosy + 11 show that uxx + tyy = 0.

This question has 0 answers so far.
0

If prove that 

This question has 0 answers so far.
0

Find , where u = x+y+z, v= y + z ,w=z. 

This question has 0 answers so far.
0

Express the complex number

 in the form a + ib. 

This question has 0 answers so far.
0

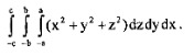
Evaluate 

This question has 0 answers so far.
0

Evaluate 

This question has 0 answers so far.
0

Prove that: i) and    ii) (n+1) = n! for a positive integer n. 

This question has 0 answers so far.
0

Prove that 

This question has 0 answers so far.
0

Show that 

This question has 0 answers so far.
0

Solve 

This question has 0 answers so far.
0

Solve  dy = 0.

This question has 0 answers so far.
0

Solve  + y cotx =cosx.

This question has 0 answers so far.
0

Solved 

This question has 0 answers so far.
0

Solve (D2 - 4D + 13)y = cos 2x.

This question has 0 answers so far.