Flat 50% off on all training & certification courses. Limited time offer Explore courses

Use these filters to find papers

  Question
0

(a) Discuss and explain the concept of singular points in non linear systems. 

This question has 0 answers so far.
0

(b) if the transfer function of a certain systems is

       . Find the matrix A and B. 

This question has 0 answers so far.
0

(a) Find the state transition matrix of

       

This question has 0 answers so far.
0

(b) Define state transition matrix. List the properties of state transition matrix.What are the methods to compute state transition matrix? 

This question has 0 answers so far.
0

(a) Consider a discrete data system is described by difference equation.

y(k+2) + 5y(k+1) + 3y(k)= r(k+1) +2r (k)

Find state equation, matrix A and B.

This question has 0 answers so far.
0

(b) Describe about the root sensitivity of system with dead beat response.

This question has 0 answers so far.
0

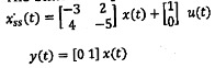
The state description of a servo process is given by the following equations.

  

A control law u=k x(t) +r is proposed, when r is constant reference input source. Find the steady state error to constant input r.

This question has 0 answers so far.
0

(a) Discuss and explain the basic concept of phase plane method.

This question has 0 answers so far.
0

(b) Write short note on behavior of non linear systems.

This question has 0 answers so far.
0

(a) Define linear and non linear systems. What are the common type of non linearities?

This question has 0 answers so far.
0

(b) Discuss the describing function method.

This question has 0 answers so far.
0

(a) Explain the lyapnov stability criterion.

This question has 0 answers so far.
0

(b) Explain Krasovkii method.

This question has 0 answers so far.
0

(a) Define state, state variable and state vector.

This question has 0 answers so far.
0

(b) State the relationship between the CCF and control liberty.

This question has 0 answers so far.
0

(c) Explain the terms saturation, black lash and dead zone in non linear system.

This question has 0 answers so far.
0

Write short note on:-

(a) Adaptive Control and applications

This question has 0 answers so far.
0

Write short note on:-

(b) Controllability and observability

This question has 0 answers so far.
0

 Derive the pulse transfer function using z transform for linear discrete system with r(k) as input, c(k) as output and h(k) as impulse response. 

This question has 0 answers so far.
0

Find the inverse z-transform 

This question has 0 answers so far.
0

Draw the typical phase portraits for (a) stable node (b) unstable node (c) stable focus (d) unstable focus (e) Centre or vertex point. 

This question has 0 answers so far.
0

Draw the block diagram of model reference adaptive controller.

This question has 0 answers so far.
0

What is a limit cycle?

This question has 0 answers so far.
0

Discuss the Lipunov stability criteria.

This question has 0 answers so far.
0

Derive the state model of a linear system with multiple input and multiple output. Represent it in block diagram. 

This question has 0 answers so far.
0

Derive the transfer function of state model and time domain solution of state equation. Give the properties of state transition matrix.

This question has 0 answers so far.
0

Explain the sampled-data control system (typical system with digital controller) with its block diagram. 

This question has 0 answers so far.
0

Consider the system defined by: 


Check the system for (a) Complete state controllability (b) Observability

This question has 0 answers so far.
0

Explain the sample and hold circuit. Write the relation between s and z domain.

This question has 0 answers so far.
0

Consider the characteristics polynomial F(z) = 2z4 +7z3 +10z2 +4z +1.Find the stability using Jury's stability test. 

This question has 0 answers so far.
0

Drive the expression of the describing function for the sinusoidal response of non linearity with dead zone and saturation as shown in figure. Use this result to obtain the describing function for (i) saturation non linearity, i.e.  (ii) dead zone non linearity i.e. 


This question has 0 answers so far.
0

Explain how the linearization of a non-linear system is done. What are the techniques available for linearization?

This question has 0 answers so far.
0

Explain how the linearization Explain the method of stability analysis using describe function method. 

This question has 0 answers so far.
0

Draw the block diagram of fuzzy logic control system and explain the function of each component. 

This question has 0 answers so far.
0

Write a short note on self-tuning regulators.

This question has 0 answers so far.