Flat 50% off on all training & certification courses. Limited time offer Explore courses

Use these filters to find papers

  Question
1

(a) Solve Un+2 - 7un+1 +12un = cos n.

This question has 0 answers so far.
0

(a) From the following table, estimate the number of students who obtained marks between 40 and 45. 

           

This question has 0 answers so far.
0

(e) Use Picard method to approximate y when x = 0.2 given that y =1 when x = 0 and  

This question has 0 answers so far.
0

10)(d) Express y = 2x3- 3x2 + 3x - 10 in a factorial notation hence show that 

This question has 0 answers so far.
0

 (c) If  derive a difference equation by eliminating the arbitrary constants A and B. 

This question has 0 answers so far.
0

(b) Find the fourier transform of the function 

This question has 0 answers so far.
0

(a) Is it possible to expand the function  in the interval  Explain it. 

This question has 0 answers so far.
0

 (b) Use the Runge-Kutta fourth order method to find y(0.2) with h = 0.1 for the initial value problem 

This question has 0 answers so far.
0

(a) Use Taylor's series method to solve the equation 

This question has 0 answers so far.
0

. (b) Evaluate  by using

    (i) Trapezoidal rule

    (ii) Simpson's rule.

    (iii)Simpson's rule.

This question has 0 answers so far.
0

(a) From the following table, find the value of x for which y is minimum and find this value of y. 

                    

This question has 0 answers so far.
0

(b) Using Lagrange's formulae, find the form of the function f(x) given that

                     

This question has 0 answers so far.
0

(a) Expand f(x) =   as a fourier series in the interval 

This question has 0 answers so far.
0

0.01- PIES. (b) Use Gauss-Seidel method to solve the system of equations:

3x + y + z = 1

x + 3y - z = 11

x-2y + 4y =21

This question has 0 answers so far.
0

(a) Find the real root of the equation xex  - 3 = 0 correct to three decimal places.

This question has 0 answers so far.
0

(b) Solve: Yn+2+6yn+1 +9yn = 2n. given yo = y1 = 0.

This question has 0 answers so far.
0

(a) Find    using convolution theorem.

This question has 0 answers so far.
0

(b) Solve the following difference equation

Un+1 + n = 3un + 2v,,Vn+1 - n= un + 2Vn

 Given up  

This question has 0 answers so far.
0

(b) Obtain the constant term and the coefficient of the first sine and cosine term in the Fourier series of f(x) as given in the following table:

                                

This question has 0 answers so far.
0

(a) Solve the equation=    given'u (4,0) = 6e-3x

This question has 0 answers so far.
0

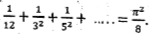
b) Find the fourier series for f(x) if f(x) = 

deduce that  

This question has 0 answers so far.