Flat 50% off on all training & certification courses. Limited time offer Explore courses

Use these filters to find papers

  Question
1

Define subset, disjoint sets and complement of a set with an example for each.


This question has 0 answers so far.
0

If F0, F1, F2 ---- are Fibonacci numbers prove that 

This question has 0 answers so far.
0

Prove that every finite integral domain is a field.

This question has 0 answers so far.
0

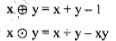
Prove that the set Z with binary operations and o defined by :


 is a commutative ring with unity, 

This question has 0 answers so far.
0

State and prove Lagrange's theorem.

This question has 0 answers so far.
0

i) Define cycelio group

ii) Prove that the group () is cyclic, Find all its generators. 

This question has 0 answers so far.
0

The parity check matrix for an encoding function  is given by : 


i) Determine the associated generator matrix

ii) Does this code correct all single errors in transmission? 

This question has 0 answers so far.
0

A binary symmetric channel bas probability P 0.05 of incorrect transmission. If the word c = 011011101 is transmitted what is the probability that i) single error occurs ii) a double error occurs iii) a triple error occurs? 

This question has 0 answers so far.
0

Let A = (1, 2, 3, 4, 5, 6, 7). R be the equivalence relation on A that induces the partition A = (1, 2) U (3) U (4,5,7) U (6). Find R. 

This question has 0 answers so far.
0

Draw the Hasse diagram representing the positive divisors of 36.

This question has 0 answers so far.
0

Let A = {1, 2, 3, 4) f and g be functions from A to A given by:

f = {(1,4) (2, 1) (3, 2) (4,3)}            g = {(1, 2) (2, 3) (3, 4) (4 19) prove that f and g are inverses of each other.

This question has 0 answers so far.
0

Let A = R B = {x/x is real and }. Is the function f: defined by f(a)- a2 an onto function? a one to one function?  

This question has 0 answers so far.
0

 Find the number of equivalence relations that can be defined on a finite set A with 

This question has 0 answers so far.
0

If A = {1, 2, 3, 4) and R is a relation on A defined by R = {(1,2)(1,3) (2, 4) (3,2) (3,3)} find R2 and R2. Draw their digraphs.



This question has 0 answers so far.
0

Define Cartesian product of two sets. For non empty sets A, B, C prove that


This question has 0 answers so far.
0

For the sequence {an} defined recursively by  prove that 

This question has 0 answers so far.
0

State the induction principle. Prove by induction that 6n-2 +72n+1 is divisible by 43 for each positive integer n. 

This question has 0 answers so far.
0

Prove that for all real numbers x and y if 

This question has 0 answers so far.
0

 Prove by contradiction that if n2 is an odd integer then n is odd". 

This question has 0 answers so far.
0

Test the validity of the following argument:

    All employers pay their employees

    Anil is an employer 

Anil pays his employees. 

This question has 0 answers so far.
0

Write the open statement "Some straight lines are parallel or all straight lines interest" in symbolic form and find its negation. 


This question has 0 answers so far.
0

Establish the validity of the argument



This question has 0 answers so far.
0

Define converse and inverse of a conditional State the converse and inverse of the following statement "If Ram can solve the puzzle then Ram can solve the problem". 


This question has 0 answers so far.
0

Prove that  is a tautology using the truth table. 


This question has 0 answers so far.
0

Define conjunction and disjunction with an example.


This question has 0 answers so far.
0

Three students write an examination. Their chances of passing are  and respectively.Find the probability that :i) all of them pass ii) at least one of them passes and iii) at least two of them pass. 


This question has 0 answers so far.
0

In a survey of 260 college students the following data were obtained;

64 had taken mathematics course, 94 had taken computer science, 58 had taken business, 26 had taken both mathematics and computer science, 28. Find taken mathematics and business, 22 had taken computer science and business and. 14 had taken all the three types of courses.

i) How many students were surveyed who had taken none of the three types of courses?

ii) How many had taken only computer science course? 


This question has 0 answers so far.