|
|
(a) Evaluate the determinant of the matrix (b) Use Cramer's rule to sole the system of equations
x+y+z+ 1 = 0; ax + by + cz + d = 0; a2x+ b2y + c2 z+ d2 = 0 (c) Find the maximum value of y=(1/x)2 (d) Evaluate  (e) Evaluate lim, (ex1/x+1), if it exists.
This question has 0 answers so far.
|
|
|
Let A={1,2,3} and R={(1,1), (1,2), (2,1), (2,2), (3,3)} Show that R is
equivalence relation.
This question has 0 answers so far.
|
|
|
From a pack of 52 cards, two are drawn at random. What is the probability that one is a king and the other a queen?
This question has 2 answers so far.
|
|
|
Determine the median wage graphically from the following data: 
This question has 0 answers so far.
|
|
|
For all n>=1, let a recursive
function
f(n) be defined as 
Is f a well defined function?
This question has 0 answers so far.
|
|
|
Find all paths of length 2 in the following graph G. 
This question has 0 answers so far.
|
|
|
a) Is H a subgraph of I shown in the following Figure? Explain it. 
This question has 0 answers so far.
|
|
|
In a group of 1000 wage earners the monthly wages of 4% are below Rs.60 and those of 15% are under Rs.62.50, 15% earned Rs.95 and
over, and 5% get Rs.100 and over. Find the median wage.
This question has 0 answers so far.
|
|
|
Suppose that samples of Polythene bags from two Manufacture, A and B are tested by a Prospective buyer for bursting pressure, with the
following results: 
This question has 0 answers so far.
|
|
|
(b) Show that the graphs are isomorphic. 
This question has 0 answers so far.
|
|
|
(a) Show that 
This question has 2 answers so far.
|
|
|
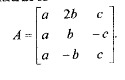
(a) Show that the vectors x1 =(1, 2, 4), x2 = (2,-1,3), x3 = (0,1,2) and x4= (-3,7,2)
dependent and find the relation between them. (b) Find the eigen values and eigen vectors of A =
This question has 1 answers so far.
|
|
|
Check the validity of the argument: Dr. Das buys a car, then he can go home in time. If he goes in time,
then his family will be happy.
This question has 0 answers so far.
|
|
|
b) Define bipartite graphs. Verify whether following graph is bipartite or not. 
This question has 0 answers so far.
|
|
|
Consider a poset {(1,2,4,5,10,201.)} as described by Hasse diagram in
the following 
Show that it is a lattice
This question has 0 answers so far.
|
|
|
For the data X and Y given below:

(i)Find Spearman's rank correlation coefficient. (ii)Find the regression line (iii)Find the coefficient of determination for the regression line fit.
This question has 0 answers so far.
|
|
|
A trucking company has a contract to move 115 truckloads of sand per week between three sand-washing plants W,X and Y, and three
destinations, A,B and C. Cost and volume information is given below.
Compute the optimal transportation cost and the transportation plan 
This question has 1 answers so far.
|
|
|
When is mode preferred over other form of average?
This question has 1 answers so far.
|
|
|
For the following data of the frequency of visit of customers in a shop in the month of April , year 2017 starting from 1st to 30th (row wise)  (1) Draw a frequency table and find the dates on which customer are more frequent. (2) Find the average number of visit in this month. (3)Which of the week showing more favorable visit for the customers?
This question has 0 answers so far.
|
|
|
For what value of x, the matrix is singular.
This question has 0 answers so far.
|
|
|
Show that function is maximum when x = 
This question has 0 answers so far.
|
|
|
Find the two lines of regression and coefficient of correlation for the data given below: 
This question has 0 answers so far.
|
|
|
Find the missing frequencies for the class intervals using the following data of 150 students given that the mean marks is 65. 
This question has 0 answers so far.
|
|
|
Compute quartile deviation from the following data: 
This question has 1 answers so far.
|
|
|
(a) Show that the relation is partial order relation on the set of natural numbers. (Where means less than or equal to).
This question has 0 answers so far.
|
|
|
(a) Let f: be defined by 
This question has 0 answers so far.
|
|
|
(b) Show that logically implies 
This question has 0 answers so far.
|
|
|
(a) Express in factorial form and hence evaluate 
This question has 0 answers so far.
|
|
|
A grade school boy has 5 blue and 4 white marbles in his left pocket and 4 blue and 5 white marbles in his right pocket. If he transfer one
marble from his left pocket to right pocket, what is the probability of
bis then drawing a blue marble from his right pocket?
From a pack of 52 cards, two are drawn at random. What is the probability that one is a king and the other a queen?
This question has 2 answers so far.
|
|
|
A can solve 75% of the problems and 3 can solve 70 of the problems. What is the probability that either A or B can solve problem
chosen at random?
This question has 1 answers so far.
|
|
|
Find the value of so that the following function is a probability density function 
This question has 1 answers so far.
|
|
|
For any positive integers r and n>r, prove that 
This question has 0 answers so far.
|
|
|
A fire insurance company has 3,840 policyholders. If the probability is 1/1200 that any one of the policyholders will file atleast one claim in any given year. Find the mean of the distribution.
This question has 0 answers so far.
|
|
|
A coin is tossed until a a head appears. What is the expectation of the number of tosses?
This question has 0 answers so far.
|
|
|
From the following table of value of x and f(x).
 Determine the value of (0.23) and (0.29).
This question has 0 answers so far.
|
|
|
Give the table of values
 Evaluate using Lagrange's interpolation and estimate the error.
This question has 0 answers so far.
|
|
|
From the following table find the value of dy/dx and d^2y/dx^2 at the point x=1.5.
This question has 0 answers so far.
|
|
|
Let A= (1,2,3.9.181}. Consider the partial order of divisibility on A. Draw the Hasse diagram of the poset (A, <=)
This question has 0 answers so far.
|
|
|
If p(x) and Q(x) are propositions, then prove that 
Are (i) and (ii) tautologies?
This question has 0 answers so far.
|
|
|
B) Let R be the set of real niamber and let is invertible ?
This question has 0 answers so far.
|
|
|
Given the set of data 4, 8, 9, 8, 6, 5, 7, 5, 8, find each of the following sample statistics: (i) Mean (ii) Median (iii)Mode (iv) Midrange
This question has 1 answers so far.
|
|
|
The following table shows the average weights for given heights in a population of men. 
(a) The relationship between the variables is modelled by the regression
equation y-ax+b. Write down the value of a and of b.
(b) Use this relationship to estimate the weight of a man whose height is
177 cm.
(c) Find the correlation coefficient.
This question has 0 answers so far.
|
|
|
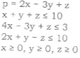
(a) Maximize subject to 
Using the Simplex method
This question has 0 answers so far.
|
|
|
Write short notes on PERT VS. CPM
This question has 1 answers so far.
|
|
|
A head of department has four lecturers to assign to pure maths (1),mechanics (2), statistics (3) and Quantitative techniques (4). All of the
teachers have taught the courses in the past and have been evaluated
with a score from 0 to 100. The scores are shown in the table below. 
The head of department wishes to know the optimal assignment of teachers to courses that will maximize the overall total score. Give the
optimal assignment of teachers and courses / papers as well as the
optimal score.
This question has 2 answers so far.
|
|
|
The marks obtained by 9 students in a test are 25,20,15,45,18,7,10,38 and 12. Find the value of Q1, Q3, I.R and Q.D.
This question has 1 answers so far.
|
|
|
A consulting firm is preparing a study on consumer behavior. The company the following data in thousand rupees to determine whether there is a relationship between consumer income and consumption levels: 
Calculate correlation coefficient for the above data. Write your comments about the correlation coefficient' value
This question has 0 answers so far.
|
|
|
A company has 4 machines to be assigned to 4 of the 5 workers available for the purpose. The expected production from each machine operated by
each worker is given below:
This question has 0 answers so far.
|
|
|
A bag contains four white and two black balls and a second bag contains three of each colour A bag is selected at random and a ball is then drawn at random from the bag choses. What is the probability that the ball drawn is white?
This question has 0 answers so far.
|
|
|
Define normal distribution and hypergoometric distribution.
This question has 0 answers so far.
|
|
|
Prove that every square matrix is uniquely expressible as the sum of asymmetric matrix and a skew symmetric matrix.
This question has 0 answers so far.
|
|
|
Using properties without expanding prove that: 
This question has 0 answers so far.
|
|
|
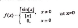
Show that is continuous at x = 2.
This question has 0 answers so far.
|
|
|
If the matrix is orthogonal, then find the values of a, b and c where matrix is 
This question has 0 answers so far.
|
|
|
Verify Cayley Hamilton theorem for the matrix Also, find 
This question has 0 answers so far.
|
|
|
Find eigen values and eigen vectors of the matrix 
This question has 0 answers so far.
|
|
|
Examine the following system of vectors for linearly dependence. If dependent, find the relation between them
X1 = (1,-1, 1); X2 = (2, 1, 1); X3 = (3,0,2).
This question has 0 answers so far.
|
|
|
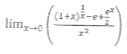
Evaluate lim 
This question has 0 answers so far.
|
|
|
For what choice of 'a' and 'b' is the function continuous   
This question has 0 answers so far.
|
|
|
For what value of does the lim f(x) exists, where f(x) exists, where f is defined by the rule 
This question has 0 answers so far.
|
|
|
Discuss the nature of discontinuity at x = 0 of
This question has 0 answers so far.
|
|
|
Find all the asymptotes of y4 - 2xy3 +2x3y -x4 -3x3 + 3x2y + 3xy2 - 3y3 - 2x2 + 2y2 - 1 = 0
This question has 0 answers so far.
|
|
|
If and 
This question has 0 answers so far.
|
|
|
If y = x then show that 
This question has 0 answers so far.
|
|
|
If y = x then show that 
This question has 0 answers so far.
|
|
|
Examine the function
for
maxima/minima 
This question has 0 answers so far.
|
|
|
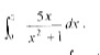
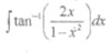
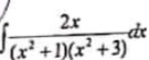
Evaluate i) 
This question has 0 answers so far.
|
|
|
Evaluate ii) 
This question has 0 answers so far.
|
|
|
Show that 
This question has 0 answers so far.
|
|
|
Evaluate 
This question has 0 answers so far.
|
|
|
Obtain the reduction formula for .Also evaluate 
This question has 0 answers so far.
|
|
|
Define (i) ogives
This question has 1 answers so far.
|
|
|
Define (ii) histogram
This question has 0 answers so far.
|
|
|
Define (iii) relation between mean, median and mode.
This question has 3 answers so far.
|
|
|
Karl Pearson's coefficient of skewness of a distribution is 0.32, its standard deviation is 6.5 and mean is 29 6, find the mode of the
distribution .
This question has 1 answers so far.
|
|
|
A contractor employs three types of workers - male, female and children. To a male worker he pays Rs. 200 per day to a female
worker Rs. 150 per day and to a child worker Rs. 85 per day. What is
the average wage per day paid by the contractor?
This question has 0 answers so far.
|
|
|
Obtain the dual of the following Linear Programming Problem:
Maximize z = 7x1 + 5x2 Subject to constraints: 
This question has 0 answers so far.
|
|
|
The mean of 5 observations is 4,4 and variance is 8.24. If three of the five observation are 1, 2 and 6. Find the other two.
This question has 0 answers so far.
|
|
|
Calculate the correlation coefficient from the following data: 
This question has 0 answers so far.
|
|
|
Ten Participants in a Context are ranked by three judges as follows: 
Calculate the rank correlation coefficient and also discuss which pair of
judges has similar taste.
This question has 0 answers so far.
|
|
|
Calculate (i) two regression lines,(ii) two regression coefficient and(iii) coefficient of correlation from the following data:- 
This question has 0 answers so far.
|
|
|
Two random variables have the regression equations 3x+2y-26 = 0
L 6x+y-31 = O Calculate
(i) Mean value of X and Y.
This question has 0 answers so far.
|
|
|
Two random variables have the regression equations 3x+2y-26 = 0
L 6x+y-31 = O Calculate
(ii) The coefficient of Correlation
This question has 0 answers so far.
|
|
|
Two random variables have the regression equations 3x+2y-26 = 0
L 6x+y-31 = O Calculate
(iii)If var(x) = 25, find standard deviation of x from the data given above.
This question has 0 answers so far.
|
|
|
Write the dual of the following primal problems and also find its optimal solution using simplex method
Min z = 8x1 + 9x2 Sub to Constraints: 
This question has 0 answers so far.
|
|
|
Solve the following linear programming problem by Graphical Method: Max 5x1 - 4x2 Subject to constraints:
This question has 0 answers so far.
|
|
|
A branch of PNB has only one typist. Since the typing work varies in length, the mean service rate 8 letters/hr. The letters arrive at a rate of
5/hr during the entire 8 hr work day. If the type write is valued 1.50/-
Rs. per hour, determine: (i) The equipment utilization
This question has 0 answers so far.
|
|
|
The average system time
A branch of PNB has only one typist. Since the typing work varies in length, the mean service rate 8 letters/hr. The letters arrive at a rate of
5/hr during the entire 8 hr work day. If the type write is valued 1.50/-
Rs. per hour, determine: ii) The Percent time that an arriving letter has to wait.
This question has 0 answers so far.
|
|
|
The
The average system time
A branch of PNB has only one typist. Since the typing work varies in length, the mean service rate 8 letters/hr. The letters arrive at a rate of
5/hr during the entire 8 hr work day. If the type write is valued 1.50/-
Rs. per hour, determine: (iii) The average system time
This question has 0 answers so far.
|
|
|
The
The average system time
A branch of PNB has only one typist. Since the typing work varies in length, the mean service rate 8 letters/hr. The letters arrive at a rate of
5/hr during the entire 8 hr work day. If the type write is valued 1.50/-
Rs. per hour, determine: (iv) The average cost due to waiting on the part of the type writer
This question has 0 answers so far.
|
|
|
Given the following data, determine the least cost allocation of the available machines to five jobs 
This question has 0 answers so far.
|
|
|
Solve the following transportation problem and test for optimality to find optimal solution by MODI method 
This question has 0 answers so far.
|
|
|
Let A = {1, 2, 3) and B = {a, b, c). Let R = {(1.b)(1.c)(3.b)}. Find the domain and range of the relation. Determine ..
This question has 0 answers so far.
|
|
|
Let D denote the set of all positive divisors of the positive integer n. Determine and represent it by Hasse Diagram.
This question has 0 answers so far.
|
|
|
Define isomorphic and Hamilton Graphs with example.
This question has 0 answers so far.
|
|
|
Let f, g, be functions from N to N (set of natural numbers) for such that f(n) = n + 1, g(n) = 2n. Find fog and gof.
This question has 0 answers so far.
|
|
|
Define Tautology and contradictions,
This question has 0 answers so far.
|
|
|
Show that the relation of parallel lines in the set of lines on a plane is an equivalence relation.
This question has 0 answers so far.
|
|
|
Choose any two statements p and q as you like. Draw the truth table for and
This question has 0 answers so far.
|
|
|
Consider the graph G (V, E) where v consists of Four vertices A, B, C,D and E of five edges where  represent this undirected graph
diagrammatically. Determine the degree of each vertex.
This question has 0 answers so far.
|
|
|
Let f be a mapping from R to R such that f(x) = 2x + 3. Show that f is invertible and find its inverse.
This question has 0 answers so far.
|
|
|
.If n (A) = 40, n(B) = 30, = 20. Then find
This question has 0 answers so far.
|
|
|
Let A = {1,2,5,6), B = {2,5,7), C = (1,3,5,7,9). Verify (A x B) {A X C} = A x B x C}.
This question has 0 answers so far.
|
|
|
Let N = {1,2,3,........), denote the set of all positive integers and A = { , 3 < x < 12), B = { , x is even, x < 15). Find

This question has 0 answers so far.
|
|
|
If R is an equivalence relation in a set A. Then prove that is also equivalence relation.
This question has 0 answers so far.
|
|
|
In a lattice , prove that
This question has 0 answers so far.
|
|
|
In a lattice , prove that 
This question has 0 answers so far.
|
|
|
Define complemented lattice, also find the complement (if exists) of all elements of 
This question has 0 answers so far.
|
|
|
Let A = {1,2,3,4,6,8,9, 12, 18, 24} be equipped with relation x divides y.Draw the Hasse diagram.
This question has 0 answers so far.
|
|
|
Let G be an undirected graph with m vertices, say Define the adjacent matrix A of G. Consider the undirected graph G
with 5 vertices shown in the following diagram.

This question has 0 answers so far.
|
|
|
Draw the directed graph for the following incident matrix. Also find the degree of all vertex.

This question has 0 answers so far.
|
|
|
Show that the two graphs shown in the figure are Isomorphic.

This question has 0 answers so far.
|
|
|
Show that the two graphs shown in the figure are Isomorphic.

This question has 0 answers so far.
|
|
|
Prove that the union of two graphs will be a graph such that.

This question has 0 answers so far.
|
|
|
Prove that the union of two graphs will be a graph such that.

This question has 0 answers so far.
|
|
|
By means of truth tables, justify that the conditional statement "If p then q" is logically equivalent to the statement "Not p or q".
This question has 0 answers so far.
|
|
|
Define a proposition. Let p and q be propositions and denote compound proposition, "if p then q" Draw the truth table for the
compound proposition  Let p: you try, and q: you will succeed.
Justify the truth table for 
This question has 0 answers so far.
|
|
|
Verify De-morgan's laws for propositions. And also prove that.

This question has 0 answers so far.
|
|
|
Consider the following: P: Today is Tuesday, Q: It is raining, R: It is cold. Write in simple sentence the meaning of 
This question has 0 answers so far.
|
|
|
Consider the following: P: Today is Tuesday, Q: It is raining, R: It is cold. Write in simple sentence the meaning of .
This question has 0 answers so far.
|
|
|
(b) to show that 
This question has 0 answers so far.
|
|
|
(c) Find the domain and range of the function f(x) = 
This question has 0 answers so far.
|
|
|
(d) Define Tautology and Contradiction.
This question has 0 answers so far.
|
|
|
(e) By means of truth table, prove that 
This question has 0 answers so far.
|
|
|
(f) If , then find
for all 
This question has 0 answers so far.
|
|
|
(g) Verify De-morgan's laws for universal set U = {1, 2, 3, 4, 5, 6, 7),A = {4, 1, 2, 5) and B = {1, 2, 4, 6).
This question has 0 answers so far.
|
|
|
(h) Define Distributed & Complemented Lattice.
This question has 0 answers so far.
|
|
|
(f) Define POSET with example.
This question has 0 answers so far.
|
|
|
(a) R is an equivalence relation in a set A, then prove that is also and quivalence relation.
This question has 0 answers so far.
|
|
|
(b) Let U = {a,b,c,d,e), A = {a,b,d} and B = {b,d,e). Find (i) (ii) (iii) B-A (iv) (v) 
This question has 0 answers so far.
|
|
|
(b) Define the relation congruence modulo m." Show that it is and quivalence relation in set of integers.
This question has 0 answers so far.
|
|
|
(a) Let be a lattice, then prove that for every element a,b  (i)  (ii)  (iii) 
This question has 0 answers so far.
|
|
|
(b) Prove that every finite lattice L is bounded.
This question has 0 answers so far.
|
|
|
(a) Find the complements of each element in D42
This question has 0 answers so far.
|
|
|
(b) Let R be the relation of divisibility on set A. Draw the Hasse diagram of poset relation R where A = 2, 4, 8, 16, 32).
This question has 0 answers so far.
|
|
|
(a) Find the chromatic number of the graph given below using the Welch-Powell algorithm. 
This question has 0 answers so far.
|
|
|
(a) Draw a 3-regular graph with 6 vertices.
This question has 0 answers so far.
|
|
|
(b) Prove that the degree of any vertex in a simple graph of n vertices cannot exceed n - 1.
This question has 0 answers so far.
|
|
|
(a) Prove that is a tautology.
This question has 0 answers so far.
|
|
|
(a) Prove that 
This question has 0 answers so far.
|
|
|
(b) Prove that 
This question has 0 answers so far.
|
|
|
(b) Estimate the missing term in the following table 
This question has 1 answers so far.
|
|
|
(c) A random variable x has the following probability function 
find the value of k.
This question has 0 answers so far.
|
|
|
(d) If a random variable has a Poisson distribution such that P(1) - P(2),find the mean of the distribution.
This question has 0 answers so far.
|
|
|
(e) For a normally distributed variable with mean 1 and S.D 3, find the probability that 
This question has 0 answers so far.
|
|
|
(f) If X and Y are independent binomial variables such that X-b(5, 1/2), (7, 1/2). Find P [X+Y=3).
This question has 0 answers so far.
|
|
|
(g) Find the Lagrange interpolating polynomial that fit the following data values. 
Also interpolate at x=1.5
This question has 0 answers so far.
|
|
|
(h) Events A and B are such that 

This question has 0 answers so far.
|
|
|
(i) The expected value of a random variable x is 2 and its variance is 1.Find the variance of 3x+4.
This question has 1 answers so far.
|
|
|
(i) if two regression coefficients are 0.8 and 0.2. What would be the value of coefficient of correlation?
This question has 0 answers so far.
|
|
|
(a) A bag containts 40 tickets numbered 1,2,3,.,40 of which four are drawn at random and arranged in ascending order Find
the probability of t3 being 25.
This question has 1 answers so far.
|
|
|
(b) The probability that Nirmal will solve a problem is 2/3 and the probability that Satyajit will solve it is What is the probability that
(i) the problem will be solved (b) neither can solve it.
This question has 1 answers so far.
|
|
|
(a) The content of three urns are: 1 white, 2 red, 3 green balls; 2 white, 1 red, 1 green balls and 4 white, 5 red, 3 green balls. Two balls are
drawn from an urn chosen at random. These are found to be one
white and one green. Find the probability that the balls so drawn
come from the third urn.
This question has 0 answers so far.
|
|
|
(b) For what value of n is 
This question has 0 answers so far.
|
|
|
(a) of the moment generating function of normal distribution is 
This question has 0 answers so far.
|
|
|
(b) Calculate the coefficient of rank correlation from the following. 
This question has 0 answers so far.
|
|
|
(a) Find and variance for the following distribution. 
This question has 0 answers so far.
|
|
|
(b) From the given data obtain the two regression equations using the method of least square.
This question has 0 answers so far.
|
|
|
(b) Using Newton-Raphson method evaluate to two decimal figures, the root of the equation ex = 3x, lying between 0 and 1.
This question has 0 answers so far.
|
|
|
(a) Use Newton's interpolating formulae to find y when x =1.85 and x=2.4 from the data. 
This question has 0 answers so far.
|
|
|
(b) Find a root of x3-5x+3 = 0, by Newton-Raphson method.
This question has 0 answers so far.
|
|
|
(a) Solve by Jacobi's Method 4x + y + 32 = 17
x + 5y + z = 14 2x-y + 8z = 12
This question has 0 answers so far.
|
|
|
(b) Given that  Find and at and 
This question has 0 answers so far.
|
|
|
(a) Apply LU Method to solve the equations 3x+2y+7z =4, 2x+3y+z=5, 3x+4y+z=7
This question has 0 answers so far.
|
|
|
(b) Calculate the value of
by simpson' s 1/3 rule using 1 1 ordinals.
This question has 0 answers so far.
|
|
|
A coin is tossed three times. What is the probability of occurrence of head and tail alternately?
This question has 1 answers so far.
|
|
|
Find the value of so that the following function is a probability density function 
This question has 1 answers so far.
|
|
|
Using Lagrange's interpolation find the interpolation polynomial for the function y(x) for the given values below.
This question has 0 answers so far.
|
|
|
Find two successive approximation of a real roots of the equation by using Bisection method.
This question has 0 answers so far.
|
|
|
Prove that for any two events A and B

This question has 0 answers so far.
|
|
|
A coin is tossed until a a head appears. What is the expectation of the number of tosses?
This question has 0 answers so far.
|
|
|
A perfect cube die is a large number of times in a set of 8. The occurrence of 5 or 6 is called a success. What is probability of exactly 3 success?
This question has 0 answers so far.
|
|
|
Cut of (2n+1) tickets consecutively numbered, three are draws at random. What is the probability that the numbers on them are in arithmetic progression (A. P.)?
This question has 0 answers so far.
|
|
|
Find the probability that at most 5 defective fuses will be found in a box of 200 fuses if experience show that 2% of such fuses are
defective.
This question has 0 answers so far.
|
|
|
The four attendants A, B, C and D of a company are supposed to wash the windshield of each customer's car. A, who service 20% of all
cars, fails to wash the windshield one time in 20; B, who services 60%
of all cars, fails to wash the windshield one time in 10: C, who
services 15% of all cars, fails to wash the windshield one time in 10,
and D, who services 5% of all cars, fails to wash the windshield one
time in 20. If a customer complains later that his windshield was not
washed, what is the probability that his car was serviced by A?
This question has 0 answers so far.
|
|
|
Out of 3n consecutive number 3 numbers are selected at random. What is the probability that their sum is divisible by 3?
This question has 0 answers so far.
|
|
|
Prove that the Binomial distribution reduces to Poisson distribution under the conditions that the number of trial n is very large and the
probability of success p is small such that , a constant.
This question has 0 answers so far.
|
|
|
If X is normally distributed with mean 2 and variance. Find 
This question has 0 answers so far.
|
|
|
Find the moment generating function of Binomial distribution of random variable X. Hence find its mean and variance.
This question has 0 answers so far.
|
|
|
It has been claimed that in 60% of all solar heat installations utility bill reduced by atleast one-third. Accordingly, what are the
probability that the utility bill will be reduced by at least one-third in
four of five installation.
This question has 1 answers so far.
|
|
|
It has been claimed that in 60% of all solar heat installations utility bill reduced by atleast one-third. Accordingly, what are the
probability that the utility bill will be reduced by at least four of five installation?
This question has 0 answers so far.
|
|
|
Find a real root of the equation correct to 3 decimal places using method of False position.
This question has 0 answers so far.
|
|
|
Find a real root of the equation using Newton-Raphson method with an accuracy of 10^-3.
This question has 0 answers so far.
|
|
|
Consider the system of equations:
 Find the inverse of the coefficient matrix of the above system of
equations by Gauss Jordan method.
This question has 0 answers so far.
|
|
|
A rocket is launched from the ground. Its acceleration a(t) measured in every 5 seconds is tabulated below.
 Find the velocity of the rocket at t = 30 second using Simpson's 1/3 rule.
This question has 1 answers so far.
|
|
|
Solve the system of equations:
 Using LU decomposition method.
This question has 0 answers so far.
|
|
|
Solve the system of equations:
 Using LU decomposition method.
This question has 0 answers so far.
|
|
|
From the following table find the value of dy/dx and d^2y/dx^2 at the point x=1.5.
This question has 0 answers so far.
|
|
|
(a) Given A = find adj (A) by using Cayley-Hamilton theorem. (b) Find the rank of the matrix A =
This question has 0 answers so far.
|
|
|
(a) Discuss the continuity of the function
f(x) = (b) Solve 
This question has 0 answers so far.
|
|
|
(a) Discuss the continuity of
the function 
(b) Evaluate 
This question has 0 answers so far.
|
|
|
(a) Verify Lagrange's Mean value Theorem for 
(b) Expand logx in powers of (x-1) by Taylor's theorem and hence find the value of loge (1.1).
This question has 0 answers so far.
|
|
|
a if y = and calculate yn(O).
blind all the asymptotes of the curve
y3 + 4xy2 + 4x2 y + 5y2 + 15xy + 10x2 - 2x + 1 = 0
This question has 0 answers so far.
|
|
|
(a) Prove that(m,n) =  (b) (1)Evaluate (ii) Evaluare 
This question has 0 answers so far.
|
|
|
(a} If In = xdx ,show that  (b) Evaluate 
This question has 0 answers so far.
|
|
|
Construct the truth table to determine whether each of the following is a tautology, or an absurdity? 
This question has 0 answers so far.
|
|
|
Show that Pvq = qvp, - (Pvq) = ~p^ ~q
This question has 0 answers so far.
|
|
|
Let  Find  
This question has 0 answers so far.
|
|
|
Show that the graph G1 =( V1'E1 ) and G2=(V2,E2) , are isomorphic 
This question has 0 answers so far.
|
|
|
b) Let be a lattice shown in the following figure where L - (a,b,c,d,e,f,g). Define an algebraic system on A 
This question has 0 answers so far.
|
|
|
a) IN Q 6a, consider the following subset of Lattice i) S-2.4.10.20) ii) S-14,5,10,20,) iii) S 11.2.5,10) Determine whether the above subset of the lattice is a sublattice.
This question has 0 answers so far.
|
|
|
b) Define distributed and complemented lattices In Q 6a, find the component the element 4, Is the lattice given in Q6a complemented lattice.
This question has 0 answers so far.
|
|
|
b) Prove the following 
This question has 0 answers so far.
|
|
|
a) Let A - B-R the set of real numbers.
: Let be given by the
formula f(x)-4x5-1 and let g - be given by
Show that f is bijection and g is also bejection.
This question has 0 answers so far.
|
|
|
The following data which is the number of tonnes shipped weekly across the Pacific by a shipping company.
398, 412, 560, 476, 544, 690, 587, 600, 613, 457, 504, 477, 530, 641,
359, 566, 452, 633, 474, 499, 580, 606, 344, 455, 505, 396, 347, 441,
390, 632, 400, 582.
Assume these data represent an entire population. Find the population
mean and the population standard deviation.
This question has 1 answers so far.
|
|
|
The following data are numbers of colour television sets manufactured per day at a given plant: 15, 16, 18, 19, 14, 1-2, 22, 23, 25, 20, 32, 17,
34, 25, 40, 41. Draw a frequency polygon and an ogive for these data.
This question has 0 answers so far.
|
|
|
Correlation and Causality are one and the same. Critically comment.
This question has 1 answers so far.
|
|
|
Explain the concept of duality in context to linear programming problems.
This question has 1 answers so far.
|
|
|
Define and explain (1) pessimistic time (2) Optimistic time
This question has 1 answers so far.
|
|
|
The project activities, precedence relationships and durations are described in the table. The critical path of the project is 
This question has 0 answers so far.
|
|
|
Define symmetric and skew-symmetric matrix with an example. Express 
as a sum of symmetric and skew-symmetric matrices.
This question has 1 answers so far.
|
|
|
Find the value of 'a' if 
This question has 1 answers so far.
|
|
|
If  find 
This question has 1 answers so far.
|
|
|
. find the derivative
This question has 1 answers so far.
|
|
|
Prove that where denotes Gamma function
This question has 1 answers so far.
|
|
|
Solve the following system of equations using Cramer's Rule ; 5x-7y+z = 11 6x-8y-z = 15 3x+2y-6z= 7
This question has 1 answers so far.
|
|
|
Find the characteristic roots and characteristic vectors of the matrix. 
This question has 1 answers so far.
|
|
|
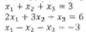
Test the consistency of the given system of linear equations using rank of matrices x + y + z = 6 x + 2y + 3z = 14 x + 4y + 72 = 30
This question has 0 answers so far.
|
|
|
Find the characteristic equation of the matrix : 
This question has 0 answers so far.
|
|
|
Evaluate :

This question has 1 answers so far.
|
|
|
Discuss the nature of discontinuity of :

This question has 1 answers so far.
|
|
|
Show that the function

is discontinuous at x -0.
This question has 1 answers so far.
|
|
|
Evaluate (i) 
This question has 1 answers so far.
|
|
|
Evaluate (ii)

This question has 1 answers so far.
|
|
|
Find the maximum value of f(x) = 
This question has 1 answers so far.
|
|
|
Find all the asymptotes of the curve 
This question has 0 answers so far.
|
|
|
Verify Rolle's theorem for f(x) = 
This question has 1 answers so far.
|
|
|
Evaluate :
(i)  (ii) 
This question has 1 answers so far.
|
|
|
Integrate (i)
This question has 1 answers so far.
|
|
|
Integrate (ii) 
This question has 1 answers so far.
|
|
|
Express dx as beta function.
This question has 1 answers so far.
|
|
|
Obtain the reduction formula for . Hence evaluate 
This question has 1 answers so far.
|
|
|
Evaluate x dx as the limit of sum.
This question has 0 answers so far.
|
|
|
How would you account for the predominant choice of A.M. as a measure of central tendency? Under what circumstances would it be
How would you account for the predominant choice of A.M. as a measure of central tendency? Under what circumstances would it be
appropriate to use mode or median?
This question has 1 answers so far.
|
|
|
Define (i) ogives, (ii) histogram (iii) Lorenz curve.
This question has 1 answers so far.
|
|
|
Define (i) Transportation problem (i) LPP (iii) Stepping-Stone method
This question has 1 answers so far.
|
|
|
Coefficient of variation of two series is 60% and 80%. Their standard deviations are 24 and 20. What are their arithmetic means?
This question has 1 answers so far.
|
|
|
(b) Prove that the Standard deviation is independent of any change of origin but is dependent on the change of scale.
This question has 0 answers so far.
|
|
|
Find the standard deviation and coefficient of variation from the following data: 
This question has 0 answers so far.
|
|
|
Given standard deviation with respect to data X is 3 and regression equation are
4X-5Y+33=0,
20X-9Y-107=0,
Find (a) A.M. of data X
(b) A.M. of data Y
(c) Standard deviation of data Y
(d) Correlation coefficient
This question has 3 answers so far.
|
|
|
From the following table, find correlation coefficient between age and playing habit of students: 
This question has 0 answers so far.
|
|
|
Define Regression. Why are there two regression lines? Under what conditions can there be only one regression line?
This question has 1 answers so far.
|
|
|
The manager of an oil refinery must decide on the optimal mix of two possible blending processes of which the inputs and outputs per
production run are as follows: 
The maximum amounts available of crude A and B are 200 units and gasoline X and 80 units of gasoline Y must be produced. The product per production run from process 1 and 2 is Rs.300 and Rs.400 respectively. Solve
the above Linear Programming Problem by GRAPHICAL method.
This question has 0 answers so far.
|
|
|
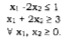
Minimize z=2x1+3x2 Subject to: X1-2x2<=0
-2x1+3x2=>-6
X1, X2 unrestricted.
This question has 0 answers so far.
|
|
|
07. Maximize Z = 4x1 + x2 + 3x3 + 5x4 
This question has 0 answers so far.
|
|
|
Given below is a transportation table taken from the solution process for a transportation problem:

Answer the following questions, giving brief answers: (1) is this solution feasible?
(2) Is this solution degenerate? (3) Is this solution optimal? If not, find the optimal solution.
(4) Does the problem have alternative optimal solution? If yes, give another
optimal solution.
This question has 0 answers so far.
|